Theory in Action on the Website:
On your website, this theory is implemented through the simulation of financial data (stock prices) with the Geometric Brownian Motion model. As time progresses, the simulated prices evolve according to this stochastic process. The Kalman Filter is applied to track and predict the prices in real time, updating predictions as new prices (observed values) are simulated.
X-axis: Represents time steps (days), which indicate the progression of time in the simulation.
Y-axis: Represents the stock price ($), showing the value of the financial asset at each time step.
The green line represents the observed simulated stock prices, while the blue line represents the filtered predictions from the Kalman filter. The reset button allows the user to restart the simulation with new values.
This approach provides both a model and a practical demo of how financial markets can be simulated and predicted using state-of-the-art methods, which would be valuable for analysts, investors, and financial engineers.


Kernel Rule
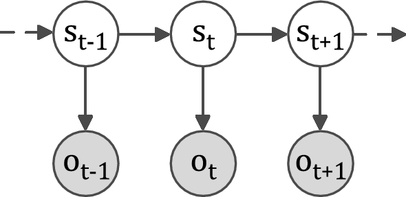
Graphical model that we assume for the Financial Price Experiment
Demo - Tracking - Problem - Online Estimation

Consulting
Research and development in physical, engineering, life sciences
© 2024. All rights reserved.
San Jose, CA
US